Intelligent transportation system real time traffic speed prediction with minimal data
Luana Georgescu1, David Zeitler2, Charles Robert Standridge2
1Dematic North America, 2Grand Valley State University (USA)
Received: September 2012
Accepted: November 2012
Georgescu, L., Zeitler, D., & Standirdge, C.R. (2012). Intelligent transportation system real time traffic speed prediction with minimal data. Journal of Industrial Engineering and Management, 5(2), 431-441. http://dx.doi.org/10.3926/jiem.542
---------------------
Abstract:
Purpose: An Intelligent Transportation System (ITS) must be able to predict traffic speed for short time intervals into the future along the branches between the many nodes in a traffic network in near real time using as few observed and stored speed values as possible. Such predictions support timely ITS reactions to changing traffic conditions such as accidents or volume-induced slowdowns and include re-routing advice and time-to-destination estimations.
Design/methodology/approach: Traffic sensors are embedded in the interstate highway system in Detroit, Michigan, USA, and metropolitan area. The set of sensors used in this project is along interstate highway 75 (I-75) southbound from the intersection with interstate highway 696 (I-696). Data from the sensors including speed, volume, and percent of sensor occupancy, were supplied in one minute intervals by the Michigan Intelligent Transportation Systems Center (MITSC). Hierarchical linear regression was used to develop a speed prediction model that requires only the current and one previous speed value to predict speed up to 30 minutes in the future. The model was validated by comparison to collected data with the mean relative error and the median error as the primary metrics.
Findings and Originality/value: The model was a better predicator of speed than the minute by minute averages alone. The relative error between the observed and predicted values was found to range from 5.9% for 1 minute into the future predictions to 10.9% for 30 minutes into the future predictions for the 2006 data set. The corresponding median errors were 4.0% to 5.4%. Thus, the predictive capability of the model was deemed sufficient for application.
Research limitations/implications: The model has not yet been embedded in an ITS, so a final test of its effectiveness has not been accomplished.
Social implications: Travel delays due to traffic incidents, volume induced congestion or other reasons are annoying to vehicle occupants as well as costly in term of fuel waste and unneeded emissions among other items. One goal of an ITS is to improve the social impact of transportation by reducing such negative consequences. Traffic speed prediction is one factor in enabling an ITS to accomplish such goals.
Originality/value: Numerous data intensive and very sophisticated approaches have been used to develop traffic flow models. As such, these models aren’t designed or well suited for embedding in an ITS for near real-time computations. Such an application requires a model capable of quickly forecasting traffic speed for numerous branches of a traffic network using only a few data points captured and stored in real time per branch. The model developed and validated in this study meets these requirements.
Keywords: Traffic speed prediction, Intelligent transportation systems, Hierarchical regression
---------------------
1.
Introduction
As investment in
construction and expansion decreases, making better use of urban
traffic
infrastructure is necessary. Intelligent Transportation Systems (ITS),
an assembly
of advanced components that collect, store, process and transmit
traffic
information for assisting traffic management, has emerged as one way of
dealing
with this change in approach. An Advanced Traffic Information System
(ATIS) is a
core component of ITS which relies on modern technology (e.g., wireless
communication) to disseminate real-time traffic information to drivers.
Several
ATIS systems have been developed, such as Visteon's Navmate System
(Visteon,
2000), to provide road users with updated information and guide them in
selecting
the shortest or fastest routes.
Historical and real-time
information are collected and applied in meeting vehicle routing
objectives.
Historical information presents the state of the transportation system
during
previous time periods. Such information can be used for long-term
traffic
volume prediction needed for transportation infrastructure planning.
Real-time
information contains the most up-to-date traffic conditions suitable as
the
basis for short term predictions ranging from a few minutes to a couple
of
hours in support of operational traffic management. In the absence of
this
predictive information, drivers are implicitly projecting future
conditions
based on historical (if they experienced it before) and current traffic
information. Therefore, short-term predictions of traffic conditions
are needed
for traffic management and travelers information systems.
Thus, developing an
understanding of the movement of traffic in time and space is essential
for
implementing ITS capabilities to relieve or avoid congestion resulting
from
high traffic volume, a traffic incident, or other causes. Traffic flow
models
capable of short-term predictions, up to 30 minutes, of traffic speed
are required
to address this issue. These models must be able to compute results in
near-real time for each of the numerous branches in a traffic network.
Data to
support the models must be collected in near-real time and stored.
These
requirements imply the use of models requiring little data, from which
results
can be quickly computed and that are effective in predicting traffic
speed up
to 30 minutes in the future.
Towards this end, data
from sensors built into various freeways in Detroit, Michigan and the
surrounding metropolitan area was obtained from the Michigan
Intelligent
Transportation Systems Center (MITSC) to support traffic flow model
building.
The most complete data came from a set of sensors on the south bound
interstate
highway 75 (I-75) corridor from the interstate highway 96 (I-96)
interchange
into the city of Detroit. Work focused on a single year of weekday data
(November
1, 2005-November 1, 2006) from sensor number 66305 (south bound I-75 south of Clay Street)
located on the south end of the corridor. Multi-level linear regression
modeling was used to develop equations predicting freeway speed for
time ranges
from one to thirty minutes into the future. Only the current speed and
the
speed at one time preceding were required, equivalent to the use of
speed and
current acceleration alone. Based on the use of the mean relative error
and the
median error as the primary validation metrics, this approach was found
to be
effective.
2. Background
Numerous data intensive
and/or very sophisticated approaches have been used to develop traffic
flow
models, for example by Min, Wynter and Amemiya (2007). Zhu and Yang
(2011)
present a visco-elastic model based on mass and momentum conservation
in which
the elastic effect provides for a higher-order model. Romero and
Benitez (2010)
point out the voluminous nature of the data needed to model urban
traffic
networks and the data management challenges presented by this data and
model
results. They propose the use of continuous equation models to address
such
difficulties.
Several different methods
have been used to predict and to help mitigate traffic congestion. One
prediction method is based on the Kalman filter algorithm and was first
applied
by Okutani and Stephanedes (1984) to predict traffic volumes in an
urban
network. The Kalman filter uses adaptive parameters sensitive to
dynamic
conditions. The main advantage of this method is that it can update the
adaptive parameter to make the predictor reflect the traffic
fluctuation
promptly.
Innamaa (2001) studied the
influence of various factors on the results of the short-time
prediction of
traffic situation on highways. He used prediction models as feed
forward
multilayer perceptron (MLP) neural networks. The proposed model
predicted
correct travel times over 80 percent of the time in congested
conditions. The
results improved if the arcs between the nodes in the traffic network
were
divided into sub-arc with additional detectors. Forecasts were better
for long
links with sub-links than for short links.
Nagatani (1993) used a
cellular automaton model to study traffic jams induced by an incident
which
separated traffic flow from traffic stoppages. Computer simulation was
used to
analyze the model. Arnaout and Bowling (2011) studied the use of
vehicle-based
adaptive cruise control to avoid traffic jams on a highway using
computer
simulation.
The issue of routing
individual vehicles has been well studied and can be formulated as a
short path
problem with solution using efficient labeling algorithms (Gallo &
Pallottino, 1988; Dijkstra, 1959; Moore, 1959). The labeling algorithm
has been
improved to solve the shortest path problem with time-dependent link
travel
times assuming first-in-first-out (FIFO) vehicle movement (Chabini,
1997).
The assumption of the
basic model for searching the optimal path is that the link travel
times are
constant (e.g., deterministic and time-independent). Real-time traffic
routing
has emerged as a promising approach for ATIS with the latest progress
in
information technology and telecommunication. For these systems, as
soon as
traffic conditions change, a reliable routing plan can be generated
with the
consideration of predicted travel time information rather than purely
current
condition.
The studies discussed
above all used sophisticated, computationally intensive methods that
may not be
consistent with needs of an ITS to make near-real time speed forecasts
using
little data. One way of doing this is discussed in the next section.
3. Model Building
and Validation
Model building involved
three types of models:
- A descriptive model in the form of graphs to identify sources of variation in traffic speed. Data from November of 2005 through October 2006 were used to build these models.
- An explanatory multi-level model developed using regression techniques. Data from calendar year 2006 was used to build this model.
- A predictive model for traffic speed developed by validating the explanatory model for this purpose. Data from both calendar years 2006 and 2007 were used.
Descriptive Models
A graph of speed for each
day of the 12-month period November 2005 through October 2006 was
created. The
graphs were examined for traffic speed patterns.
The graphs of speed versus
time of day for November 12 through 15, 2005 (Saturday through Tuesday)
are
shown in Figure 1. The graphs for Saturday and Sunday show near
constant speeds
around the 70mph speed limit throughout the day. The graphs for Monday
and
Tuesday show significant speed reductions during the morning rush hour
period
but otherwise near constant speed around the speed limit. The same was
found to
be true for Wednesday through Friday, except for holidays for which the
observed speed was like a Saturday or a Sunday. This pattern repeated
throughout the year with no variation by time of year observed. Thus
only the
non-holiday, weekday (Monday through Friday) data was further
considered.
Explanatory Models
Data from calendar year
2006 was used to estimate the parameters of a multi-level explanatory
model
(MTM) built as follows.
- The average speed for each minute of the day was computed across the weekdays of the year. These one-minute averages were subtracted from the original data to remove time of day effects seen in Figure 1.
- The resulting residuals (actual value minus one-minute average) of the speeds were analyzed further using the mathematical form shown in Equation 1.
|
|
(1) |
November 12
November 13
November 14
November 15
Figure 1. Speed Graphs for November 12-15, 2005
where
n is the prediction horizon (0, 30] minutes, n a real positive number.
St+n is the future speed at time t+n
is the average speed
calculated at t+n
rs
is the residual of the speed with respect tocalculated
at the current time t
rs(t-1) is the residual of the speed calculated at the past time t-1
b0n, b1n and b2n are regression coefficients
Thus, the prediction of
the future speed at a time n units in the future is the historical
average
speed at that time of day, 1st level of the MTM, plus a
function of
the residuals of the current speed and the speed one time unit in the
past, the
2nd level of the MTM. In other words, the second level of
the MTM is
a function of the current speed and acceleration over the last time
unit.
Equation 1 is derived as
follows. A more direct use of the available data could be accomplished
by using
equation 2.
St is the
current speed at time t.
Equation 3 results from
the definition of the residuals:
where rs(t-1)
is the residual of the speed calculated at time t+n.
Combining equations 2 and
3 as well as expressing the result in a form that is useful for
regression
modeling yields equation 4:
for any n in (0, 30]
minutes, n a real positive number.
where rs(t)
is the residual of the speed calculated at the current time t.
rSt-1 is
the residual of the speed calculated at the past time
t-1.
Next, the values of the
coefficients b0, b1n and b2n must be
estimated.
The coefficient b0 is the average of the residuals which by
the definition
of residuals is zero.
Coefficients b1n
and b2n were estimated as follows. Twelve values of the
prediction
horizon n were considered: 1, 2, 3, 4, 5, 6, 7, 8, 9, 10, 15, and 30
minutes. For
each value of n, b1n and b2n were estimated using
standard linear regression techniques. For each coefficient b1n
and
b2n, a second-degree polynomial was fit to all twelve
points,
equations 5 and 6. The correlation coefficients were very good: 0.9545
for b1n
and 0.9736 for b2n.
Equations 5 and 6 support
any prediction horizon for any real positive time up to 30 minutes in
the
future. Making a prediction requires only the residuals of the speed at
current
time (at time t) and at the past time (at time t-1) as well as the
average
speed at time t+n.
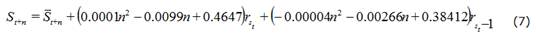
The model for sensor 66305
is given by equation 7:
Predictive Models
The model given in
equation 7 can be used for speed prediction at the sensor 66305 upon
validation
that the predicted speeds match the actual speeds well. This was
addressed in
several ways.
Ideally, a simple linear
regression between the predicted speeds and the actual speeds should
produce a
fit with a zero intercept and a slope of exactly 1.0. The closer the
regression
results to this ideal the more valid the prediction model. Figure 2
shows the
fit results using JMP software giving an intercept off by only 1/2 MPH
(0.8
km/h) and a slope of almost exactly 1.0.
The relative errors
between the observed and predicted values, equation 8, assist in
validating the
model:
where ei
is the relative speed prediction error for observation i
Si is the actual (observed) speed for observation i
Sip is the predicted speed for observation i
An examination of the
relative mean errors showed a strong skewness. Thus, the relative
median error
was calculated as well. The relative median error values are better
(smaller)
than relative mean error values for the same prediction horizon n. In
addition,
the parameters of the model were re-estimated using calendar year 2007
data and
the median relative errors estimated. The relative mean errors and
relative
median errors are summarized in Table 1.
Figure 2. Model Validation for 1 minute at sensor 66305
|
Prediction Interval (minutes) |
Relative Mean Error (2006 data) |
Relative Median Error (2006 data) |
Relative Median Error (2007 data) |
|
1 |
5.8 |
4 |
5.9 |
|
5 |
6.6 |
4.2 |
6.9 |
|
10 |
7.2 |
4.4 |
7.7 |
|
15 |
7.6 |
4.5 |
8.3 |
|
30 |
9.5 |
5.4 |
10.1 |
Table 1. Validation Summary
For further validation,
the data from 2007 was used as input for the model with parameters
estimated
from the 2006 data to generate a predicated speed. The predicted speed
fifteen
minutes in the future and actual speeds at that time were plotted and
can be
seen in Figure 3. The model predictions tend to slightly lag, by 15-30
minutes,
the actual values when changes in speed are abrupt and large such as
during
morning rush hour but the median error is an acceptable 3.1%.
The largest relative
median error is in Table 1 is about 10%. A 10% error in forecast speed
translates into a travel time forecast error of less than one minute
(about 0.85
minute) for a distance of 10 miles with travel at the speed limit of
70mph and
for a distance of 5 miles with travel at 35mph. Such forecasting errors
are
insignificant particularly considering that sensors on an urban freeway
network
are much closer than 5 miles apart.
Figure 3. Hierarchical Model Predictions Compared to Actual Speed for a 15-minute Prediction Horizon at Sensor 67333 (South Bound I-75 South of Davison Expressway)
4. Summary and
Conclusions
Hierarchical linear
regression has been used to develop a model that meets the requirements
of an
ITS for travel speed prediction: small number of data values observed
and
stored as well as quick computation. The model requires only two data
values
which consider current speed and acceleration to predict travel speeds
in the
range (0, 30] minutes in the future. The primary validation metrics,
relative
mean error and relative median error, show that the model would be
effective at
predicting travel speeds and thus resulting travel times. Descriptive
models reveal
that traffic speed is homogenous for non-holiday week days throughout
the year.
Thus, one year worth of data concerning such days was used to support
model
building and validation.
References
Arnaout, G., & Bowling, S. (2011). Towards reducing traffic congestion using cooperative adaptive cruise control on a freeway with a ramp. Journal of Industrial Engineering and Management, 4(4), 699-717. http://dx.doi.org/10.3926/jiem.344
Chabini, I. (1997). A new algorithm for shortest paths in discrete dynamic networks. Proceedings of the IFAC Symposium on Transportation Systems. Paper presented at Chania, Greece.
Dijkstra, E.W. (1959). A note on two problems in connexion with graphs, Numerische mathematik, 1, 269-271. http://dx.doi.org/10.1007/BF01386390
Gallo, G., & Pallottino, S. (1988). Shortest path algorithms, Annals of Operations Research, 13, 3-79. http://dx.doi.org/10.1007/BF02288320
Innamaa, S. (2001). Short-term prediction of highway travel time using MLP – Neural networks. Transportation Engineering - 8th World Congress on Intelligent Transportation Systems, Paper presented at Sydney, Australia.
Min W., Wynter, L., & Amemiya, Y. (2007). IBM Research Division, Tomas J. Watson Research Center, 'Road Traffic Prediction with Spatio-Temporal Correlations', IBM Research Report R24275 (W0706-018).
Moore, E.F. (1959). The shortest path through a maze. Proceedings of an International Symposium on the Theory of Switching. Paper presented at Cambridge, Massachusetts, 2-5 April, 1957), ed. Harvard University Press, Cambridge, 285-292.
Nagatani, T. (1993). Effect of traffic accident on jamming transition in traffic-flow model. Journal of Physics. A: Mathematical and General. 26: L1015. http://dx.doi.org/10.1088/0305-4470/26/19/008
Okutani, I., & Stephanedes, Y.J. (1984). Dynamic prediction of traffic volume through Kalman filtering theory. Transportation Research, 18B(1). http://dx.doi.org/10.1016/0191-2615(84)90002-X
Romero, L.M., & Benitez, F.G. (2010). Traffic flow continuum modeling by hypersingular boundary integral equations. International Journal for Numerical Methods in Engineering, 82, 47–63. http://dx.doi.org/10.1002/nme.2754
VISTEON OFFERS PORTABLE AUTO NAV’ (2000). Global Positioning & Navigation News, 10(17), 1. Retrieved January 10, 2012, from ABI/INFORM Trade & Industry.
Zhu, Z., & Yang, C. (2011). Visco-elastic traffic flow model. Journal of Advanced Transportation. http://dx.doi.org/10.1002/atr.186
This work is licensed under a Creative Commons Attribution 4.0 International License
Journal of Industrial Engineering and Management, 2008-2026
Online ISSN: 2013-0953; Print ISSN: 2013-8423; Online DL: B-28744-2008
Publisher: OmniaScience






